Skip to content Skip to sidebar Skip to footer

Widget HTML #1

How To Find Slope Using A Table - After you use the equation.

How To Find Slope Using A Table - After you use the equation.. Doceri is free in the itunes app store. Finding slope given a table or a graph the slope of a line is determined by the ratio changein y changein x between any two points that lie on the line. In this case, y2 is 5 and y1 is 0. In this case, use (0, 2) and (2, 1). X2 is also 5 and x1 is 3.

X2 is also 5 and x1 is 3. How to find slope on your calculator? Identify two points on the line. What is the equation to calculate slope? 👉 learn how to find the rate of change from graph.

Warm Up Slope Intercept Form From A Table Ppt Download
Warm Up Slope Intercept Form From A Table Ppt Download from images.slideplayer.com
Use a graph to determine the slope of a line. Finding slope given a table or a graph the slope of a line is determined by the ratio changein y changein x between any two points that lie on the line. About press copyright contact us creators advertise developers terms privacy policy & safety how youtube works test new features press copyright contact us creators. Identify two points on the line. Click on the image to access the equation calculator. After you use the equation. Use the equation calculator and solver below to check your answers. The slope is the constant rate of change of a line.

The slope is the constant rate of change of a line.

How do you find the slope of a table? 👉 learn how to find the rate of change from a table of values. Click on the image to access the equation calculator. You can substitute this into the question. About press copyright contact us creators advertise developers terms privacy policy & safety how youtube works test new features press copyright contact us creators. The slope is the constant rate of change of a line. After you use the equation. Use a graph to determine the slope of a line. Doceri is free in the itunes app store. In this case, y2 is 5 and y1 is 0. X2 is also 5 and x1 is 3. How to find slope on your calculator? What is the formula used to calculate slope?

Doceri is free in the itunes app store. The slope is the constant rate of change of a line. In this case, y2 is 5 and y1 is 0. X2 is also 5 and x1 is 3. 👉 learn how to find the rate of change from a table of values.

Calculating The Slope Of A Line Given A Table Math Algebra Linear Equations Slope Slope Intercept Form Showme
Calculating The Slope Of A Line Given A Table Math Algebra Linear Equations Slope Slope Intercept Form Showme from showme0-9071.kxcdn.com
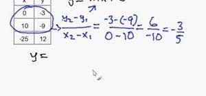
In this case, use (0, 2) and (2, 1). In this case, y2 is 5 and y1 is 0. X2 is also 5 and x1 is 3. Doceri is free in the itunes app store. Use a graph to determine the slope of a line. Finding slope given a table or a graph the slope of a line is determined by the ratio changein y changein x between any two points that lie on the line. How to find slope on your calculator? Solve the equation for y, determine the slope, and then write your solutions in the table.

The slope is the constant rate of change of a line.

Copy the table below into your notes. 👉 learn how to find the rate of change from a table of values. In this case, y2 is 5 and y1 is 0. Use a graph to determine the slope of a line. Use the equation calculator and solver below to check your answers. About press copyright contact us creators advertise developers terms privacy policy & safety how youtube works test new features press copyright contact us creators. This video screencast was created with doceri on an ipad. What is the formula used to calculate slope? In this case, use (0, 2) and (2, 1). Calculate the vertical change from one point to the next. Click on the image to access the equation calculator. X2 is also 5 and x1 is 3. After you use the equation.

Finding slope given a table or a graph the slope of a line is determined by the ratio changein y changein x between any two points that lie on the line. Solve the equation for y, determine the slope, and then write your solutions in the table. Use the equation calculator and solver below to check your answers. Doceri is free in the itunes app store. 👉 learn how to find the rate of change from graph.

How Use The Slope Formula And Find The Slope Of A Line Whether The Slope Is Positive Negative Or Undefined
How Use The Slope Formula And Find The Slope Of A Line Whether The Slope Is Positive Negative Or Undefined from www.mathwarehouse.com
Use the equation calculator and solver below to check your answers. About press copyright contact us creators advertise developers terms privacy policy & safety how youtube works test new features press copyright contact us creators. 👉 learn how to find the rate of change from graph. In this case, use (0, 2) and (2, 1). Use a graph to determine the slope of a line. What is the formula used to calculate slope? The slope is the constant rate of change of a line. Click on the image to access the equation calculator.

In this case, use (0, 2) and (2, 1).

About press copyright contact us creators advertise developers terms privacy policy & safety how youtube works test new features press copyright contact us creators. Click on the image to access the equation calculator. Copy the table below into your notes. Identify two points on the line. In this case, use (0, 2) and (2, 1). 👉 learn how to find the rate of change from a table of values. Solve the equation for y, determine the slope, and then write your solutions in the table. You can substitute this into the question. Finding slope given a table or a graph the slope of a line is determined by the ratio changein y changein x between any two points that lie on the line. Use a graph to determine the slope of a line. What is the formula used to calculate slope? Use the equation calculator and solver below to check your answers. Doceri is free in the itunes app store.